Evaluation of the functional activity and specificity of the hSLPI gene promoter
- Authors: Dudkina E.V.1, Kosnyrev A.S.1, Ulyanova V.V.1, Nadyrova A.I.1, Morozova P.S.1, Kupriyanova E.A.1, Ilinskaya O.N.1
-
Affiliations:
- Kazan Federal University, Kazan
- Issue: Vol 29, No 1 (2024)
- Pages: 13-22
- Section: Original Study Articles
- Submitted: 28.03.2024
- Accepted: 17.07.2024
- Published: 05.10.2024
- URL: https://rjonco.com/1028-9984/article/view/629570
- DOI: https://doi.org/10.17816/onco629570
- ID: 629570
Cite item
Abstract
BACKGROUND: One of the main problems of modern oncotherapy is the lack of selectivity of the antitumor drugs, leading to their systemic toxicity on the body. Targeted expression of therapeutic genes represents a new approach in cancer gene therapy. One of the ways to achieve the selectivity of action of the therapeutic genes towards tumor cells is the use of promoters that are active only in tumor cells, but not in normal cells.
AIM: To evaluate the functional activity and specificity of the promoter of the human secretory leukocyte protease inhibitor hSLPI.
MATERIALS AND METHODS: The promoter of the hSLPI gene was cloned into the promotorless vector pTurboGFP-PRL. The functional activity and specificity of the promoter were assessed by the expression of the mRNA of the TurboGFP reporter gene and the intensity of its luminescence in A549, MCF-7, HeLa tumor cells and WI-38 normal cells using real-time polymerase chain reaction with reverse transcription and fluorescence analysis, respectively.
RESULTS: Despite the literature data, the promoter of the hSLPIa gene demonstrated high transcriptional activity only against HeLa cervical cancer tumor cells. At the same time, in the cells of lung adenocarcinoma A549 and breast cancer MCF-7, as in normal WI-38 cells, a reduced level of promoter activity was observed.
CONCLUSION: The data obtained confirm the need for a preliminary assessment of the functional activity of tumor-specific promoters in relation to tumor and normal cells.
Full Text
BACKGROUND
Cancer is one of the most common causes of death worldwide in both men and women. Despite advances in chemotherapy, surgery, and radiotherapy, treatment options for advanced cancer are still limited, which include palliative methods only [1]. The standard antitumor therapeutic protocols indicated that surgery and radiotherapy are used to treat local non-metastatic tumors, whereas systemic chemo-, hormonal, and biological therapy are preferably used to treat progressive metastatic tumors. Improved understanding of the molecular biology of tumor cells, the unique characteristics of tumor growth, and the toxicity caused by chemotherapeutic drugs and causing unwanted immense destruction of normal cells of the body have necessitated the search for alternative targeted and effective methods for cancer treatment, with gene therapy being considered the most promising [2].
Gene therapy approaches are characterized by introducing a therapeutic gene into target cells to replace mutant genes associated with carcinogenesis or genes causing the death of tumor cells [3–5]. The first gene therapy constructs, where the therapeutic gene was controlled by constitutive promoters of cytomegalovirus (CMV) or monkey virus, did not have action selectivity and expressed the antitumor agent in all body cells, also exerting a toxic effect on normal cells. The discovery of tumor-specific promoters, hyperactive in certain types of cancer cells and practically inactive in normal cells, enabled to achieve a strict selectivity level in gene therapy drugs [6]. These include regulatory regions of genes encoding proteins hyper-expressed in various types of tumor cells and associated with their malignant transformation, namely, telomerase, apoptosis blockers, epidermal growth factor receptor, homologous recombination proteins, thyroid transcription factor 1, human secretory leukocyte protease inhibitor (hSLPI), carcinoembryonic antigen, and others [2, 7–9]. In addition, promoters are known to be hyperactive at certain stages of carcinogenesis, such as angiogenesis and metastasis [10].
Although the obtained data characterized the specificity and activity of tumor-specific regulatory regions, the cancer cell heterogeneity does not enable to clearly predict the transcriptional activity of a particular promoter region and, consequently, the efficiency of therapy. Therefore, an essential factor in the development of selective gene therapeutic approaches is the selection of an optimal tumor-specific promoter for a specific type of tumor tissue.
AIM
This study aimed to evaluate the functional activity and specificity of the hSLPI promoter for subsequent development of a genetic construct that expresses selectively cytotoxic therapeutic genes in tumor cells.
MATERIALS AND METHODS
Bacterial plasmids, strains, and cultivation conditions
The promoter region of the hSLPI gene was cloned into the pTurboGFP-PRL vector (Eurogen, Russia) using the Escherichia coli NEB5α strain (New England Biolabs, USA). Bacteria were grown in a standard lysogeny broth (LB) medium (peptone 1.5%, NaCl 0.5%, yeast extract 0.5%) at 37℃ in a Multitron Standard shaker-incubator (INFORS HT, Switzerland) at 160 rpm. When growing strains carrying plasmids, kanamycin (30 μg/ml) was added to the medium.
To evaluate the transfection efficiency, the pTurboGFP-C plasmid (Eurogen, Russia) was used, where the reporter gene of the green fluorescent protein TurboGFP is controlled by the constitutive promoter of the CMV.
Cell lines
For transfection, the tumor cell lines of human lung adenocarcinoma A549, epithelioid carcinoma of the cervix HeLa, and breast adenocarcinoma MCF-7, obtained from the ATCC collection (USA), as well as the cell culture of normal human embryonic lung fibroblasts WI-38, obtained from the “Collection of Vertebrate Cell Cultures” of the Institute of Cytology of the Russian Academy of Sciences were used. The cells were grown at 37 ℃ in an atmosphere with 5% CO2 in the standard DMEM medium (PanEco, Russia) supplemented with 10% fetal bovine serum, 2 mM glutamine, penicillin/streptomycin, and kanamycin (100 units each).
Polymerase chain reaction (PCR)
The full-length hSLPI gene promoter and its fragments were amplified from the genomic DNA of L-68 lung fibroblasts (SibEnzyme, Russia) using high-precision Phusion (Thermo Fisher Scientific, USA) and Encyclo (Eurogen, Russia) DNA polymerases and primers F-hSLPI-Xho, F-hSLPIa-Xho, F-hSLPIb-Xho, and R-hSLPI-Bam, with their sequences listed in Table 1. The Tm Calculator service (Thermo Fisher Scientific, USA) was used to calculate the annealing temperature of the primers.
To optimize the PCR conditions, DNA polymerase was selected, and the composition of the reaction mixture (the amount of template, primers, and Mg2+ ions) and the amplification mode (duration of each reaction step, primer annealing temperature) were varied. The optimized amplification mode for the full-length hSLPI promoter and its fragments is presented in Table 2.
Electrophoresis
Horizontal DNA electrophoresis was performed in 1– 1.5% agarose gel in tris-acetate-ethylenediaminetetraacetic acid (EDTA) buffer (48.4 g/L tris-aminomethane, 11.4 ml/L glacial acetic acid, 100 ml/L 0.5 M EDTA, pH 8.5), at a voltage of 100 V for 30–45 min. To control DNA mobility in the gel and detect DNA in ultraviolet light, 6×DNA-Dye NonTox solution (AppliChem GmgH, Germany) was used. The gel was viewed in ultraviolet light at a wavelength of 365 nm. For an estimate of the DNA fragment lengths, 1 Kb (SibEnzyme, Russia) and 50 bp+ (Eurogen, Russia) DNA markers were used.
Promoter cloning
The resulting hSLPIa gene promoter amplification product and the pTurboGFP-PRL vector were hydrolyzed at the XhoI and BamHI restriction sites for 3 h at 37 ℃. The PCR product was purified from impurities pre- and post-restriction using the GeneJet PCR Purification kit (Thermo Fisher Scientific, USA). The restricted vector fragments were separated in an agarose gel, and the regions corresponding to the required fragments were excised from the gel and extracted using the LumiPure DNA Gel Extraction Kit (Lumiprobe, Russia). The purified restriction products were ligated at 4 ℃ for 14–16 h using T4 DNA ligase (Eurogen, Russia).
Table 1. Primers used in the study
Primer | Sequence 5’→3’ |
F-hSLPI-Xho | ACTATACTCGAGCTCACTGCAGCCTCAAAC |
F-hSLPIa-Xho | ACTATACTCGAGAGATCTCAAATTATCTCACAGCT |
F-hSLPIb-Xho | ACTATACTCGAGCTGAGACAACTGAGCTCCAG |
R-hSLPI-Bam | AGATAAGGATCCGGTGAAGGCAGGAGTGAC |
GFP_F | GAGATCGAGTGCCGCATCAC |
GFP_R | GCCTTTGGTGCTCTTCATCTTG |
GAPDH_F | CCAGGTGGTCTCCTCTGACTTC |
GAPDH_R | CAAAGTGGTCGTTGAGGGCAATG |
The heat shock method was used to transform the resulting construct of the chemically competent E. coli NEB 5α cells [11]. For transformation, 10 μl of the ligase mixture was added to 100 μl of competent cells. The cells were then subjected to heat shock, incubated on ice for 40 min, and then heated to 42 ℃ in a water bath for 90 s, after which they were again placed on ice for 2 min. Each sample was supplemented with 600 μl of the LB medium and incubated at 37 ℃ for 60 min with aeration. The cells were plated on L-agar plates supplemented with kanamycin (30 μg/ml) post-incubation, and kanamycin-resistant clones were selected. The correctness of the construct assembly was confirmed by PCR and restriction analyses and Sanger sequencing.
Cell transfection
For transfection, A549 (105 cells/well), HeLa (1.5×105 cells/well), MCF-7 (2×105 cells/well), and WI-38 (2×105 cells/well) cell cultures were inoculated in 24-well culture plates and grown until the cells reached 70–85% confluency. On the next day, the cells were transfected with the created pTurboGFP-hSLPIа reporter construct and the pTurboGFP-C plasmid and assessed for the transfection efficiency using the Lipofectamine-3000 reagent (Invitrogen, USA) following the manufacturer’s protocol. The reagent-to-DNA ratio in the reaction was 3:1, and the amount of DNA in a well was 500 ng. In separate tubes, 1.5 μl of Lipofectamine 3000, 25 μl of Opti-MEM medium (Thermo Fisher Scientific, USA), 500 ng of DNA, and 25 μl of Opti-MEM medium containing 1 μl of the P3000 reagent (Thermo Fisher Scientific, USA) were mixed. The tube contents were combined and incubated for 15 min at room temperature. The resulting mixture was added to the cells and incubated in an atmosphere of 5% CO2 at 37 ℃ for 48 h.
Assessment of transfection efficiency
Transfection efficiency was assessed based on the fluorescence intensity of the TurboGFP reporter protein in the blue spectrum (480 nm) on an Axio Imager 2.0 fluorescence microscope (Carl Zeiss, Germany). The maximum fluorescence excitation and emission for TurboGFP were 482 nm and 502 nm, respectively.
Isolation of total ribonucleic acid
The total RNA of transfected A549, MCF-7, HeLa, and WI-38 cells was isolated using RiZol reagent (Dia-M, Russia) following the manufacturer’s protocol. The concentration of isolated RNA samples was measured using a Qubit 2.0 fluorimeter (Invitrogen, USA). The total RNA obtained was treated with DNase I and heated for 10 min at 75 ℃.
Real-time PCR with reverse transcription
The expression level of the hSLPa promoter was assessed based on the number of transcripts of the green fluorescent protein gene TurboGFP. The RNAscribe RT kit (Biolabmix, Russia) was used to perform reverse transcription reaction. The reaction mixture consisting of 10 ng of total RNA and 2.5 μM of a mixture of random nonanucleotides and oligo(dT)18 (Biolabmix, Russia) was heated at 70 ℃ for 3 min. Then, a 5×RT buffer and 100 units of RNAscribe RT reverse transcriptase were added to the cooled mixture, incubated at 25 ℃ for 5 min and at 50 ℃ for 30 min. The reaction was stopped by heating at 85 ℃ for 5 min. The resulting cDNA was used for real-time PCR by adding 2.5 μl to a reaction mixture consisting of BioMaster 2×PCR mixture HS-qPCR SYBR Blue (Biolabmix, Russia) and 0.4 μM of forward and reverse oligonucleotides. The oligonucleotide sequences used to amplify the GAPDH and TurboGFP genes are presented in Table 1. The PCR program included primary denaturation at 95 ℃ for 5 min and 39 cycles consisting of denaturation (15 s, 95 ℃), annealing (15 s, 60 ℃), and elongation (20 s, 72 ℃). Amplification was performed using the CFX96 Touch Real-Time PCR Detection System (Bio-Rad, USA). The reaction mode is presented in Table 2.
Table 2. Amplification modes of the full-sized hSLPI gene promoter and its fragments
Reaction stages | hSLPI | hSLPIa / hSLPb |
Preliminary denaturation | 95 ℃, 3 min | 95 ℃, 3 min |
Denaturation | 95 ℃, 10 s | 95 ℃, 1 min |
Annealing | 56 ℃, 30 s | 64 ℃, 45 с |
Elongation | 72 ℃, 51 s | 72 ℃, 1 min |
Number of cycles | 30 | 35 |
Final elongation DNA polymerase | 72 ℃, 5 min Phusion | 72 ℃, 10 min Encyclo |
The obtained PCR data were analyzed using the standard Bio-Rad iQ5 v.2.0 program (Bio-Rad Laboratories, USA). The threshold cycle (Ct) of each sample was determined. The transcript abundance level and the relative mRNA expression in tumor cells were normalized to the expression level of the housekeeping gene GAPDH. The hSLPa promoter expression level was estimated relative to the constitutive CMV promoter expression level in the control. Therefore, the TurboGFP expression level was calculated in the control (ΔСtCMVb=CtCMV−CtGADPH) and experimental (ΔСthSlpa=CthSlpa−CtGADPH) samples. Changes in TurboGFP expression in the experimental samples relative to the control were calculated using the equation ΔΔCt=ΔСthSlpa−ΔСtCMV. The relative expression level of GFP was calculated as 2–ΔΔCt to determine the fold increase or decrease in the expression of the studied gene in the experimental samples relative to the control.
Statistical processing
Statistical processing and visualization of the obtained data were performed in GraphPad Prism 8 (GraphPad Software, USA). Analysis of variance with Tukey’s post hoc test was performed for multiple comparisons of several independent samples. The critical significance level for testing statistical hypotheses in this study was p=0.05.
RESULTS
Creation of a genetic construct for the expression of a reporter gene controlled by the hSLPa promoter
Regarding the promoter of the human leukocyte secretory protease inhibitor gene hSLPI, in addition to the full-length region of 1250 base pairs, its reduced fragments of 877 base pairs (region from −849 to +22) and 684 base pairs (region from −650 to +22), designated as hSLPIa and hSLPIb, respectively, possess high transcriptional activity [12]. To identify the promoter regions of the hSLPI gene, the corresponding primers were used in this study, allowing the amplification of regions of different lengths, differing in 5’ regions (Fig. 1a). Since the promoter regions, due to the high GC composition, are associated with difficult-to-amplify matrices [13], at stage 1 of this study, the PCR conditions were optimized, namely, the duration of the primary denaturation was increased, the primer and magnesium ion concentrations were varied, the annealing temperature was changed, and a DNA polymerase was selected. The genomic DNA of human lung fibroblasts L-68 was used as a matrix. Consequently, highly specific fragments of hSLPIa and hSLPIb, approximately 900 base pairs and 700 base pairs in size, respectively, were obtained using Encyclo polymerase with an increase in the primary denaturation of the DNA matrix to 3 min and the magnesium concentration to 2 mM, with annealing temperature of the primers at 64 ℃ (Fig. 1b). The PCR product of the full-length region of the hSLPI promoter contained impurity fragments (Fig. 1b); therefore, for the next stage of this study, a longer hSLPa, with 877 base pairs in size, was selected from the obtained regions of the hSLPI promoter.
The hSLPa promoter was cloned at the BamHI and XhoI sites into the promoterless pTurboGFP-PRL vector containing the reporter gene of the green fluorescent protein TurboGFP to assess the functional activity and specificity. The presence of the insert in the resulting plasmid was confirmed by restriction analysis (Fig. 1c), and the correctness of the nucleotide sequence of the cloned region was confirmed by Sanger sequencing.
Fig. 1. Cloning of fragments of the hSLPI gene promoter into the pTurboGFP-PRL vector: a — nucleotide sequence of the hSLPI promoter fragments and the scheme of the pTurboGFP-PRL plasmid; b — products of amplification of the hSLPI gene promoter fragments; c — restriction analysis of the pTurboGFP-PRL vector (4070 base pairs) and the hSLPa insertion (877 base pairs).
Thus, the genetic reporter construct pTurboGFP-hSLPa was created, containing the gene of the green fluorescent protein TurboGFP controlled by the hSLPIa promoter.
Assessment of the functional activity and specificity of the hSLPIa promoter
The specificity of the transcriptional activity of the hSLPIa promoter was assessed on tumor cells of human lung adenocarcinoma A549, cervical cancer HeLa, breast cancer MCF-7, and normal human embryonic lung fibroblast line WI-38 using fluorescence microscopy by glow intensity of the green fluorescent protein TurboGFP. Recipient cells were transfected with the created reporter construct pTurboGFP-hSLPa; the pTurboGFP-C vector was used as a positive control, where the TurboGFP reporter gene is controlled by the constitutive promoter of the CMV, active in all mammalian cells. The lipofection method was used for transfection, and the optimal conditions were selected using the reporter construct pTurboGFP-C. During transfection, a 3:1 lipofectamine-to-DNA ratio was used, with 200 ng/well of DNA in the well.
Fluorescence of the green TurboGFP protein, expressed under the control of the CMV promoter, was detected in all cell lines transfected with the pTurboGFP-C plasmid (Fig. 2). Simultaneously, when transfecting cells with the created pTurboGFP-hSLPa reporter construct, the fluorescence of the TurboGFP protein, caused by the hSLPa promoter activity, was actively detected only in HeLa cervical cancer cells (Fig. 2). In normal WI-38 cells, the fluorescence signal was detected only in single cells (Fig. 2).
Fig. 2. Fluorescent analysis of the specificity of the hSLPa promoter in cells transfected by the pTurboGFP-hSLPa after 48 hours of cultivation; magnification ×100.
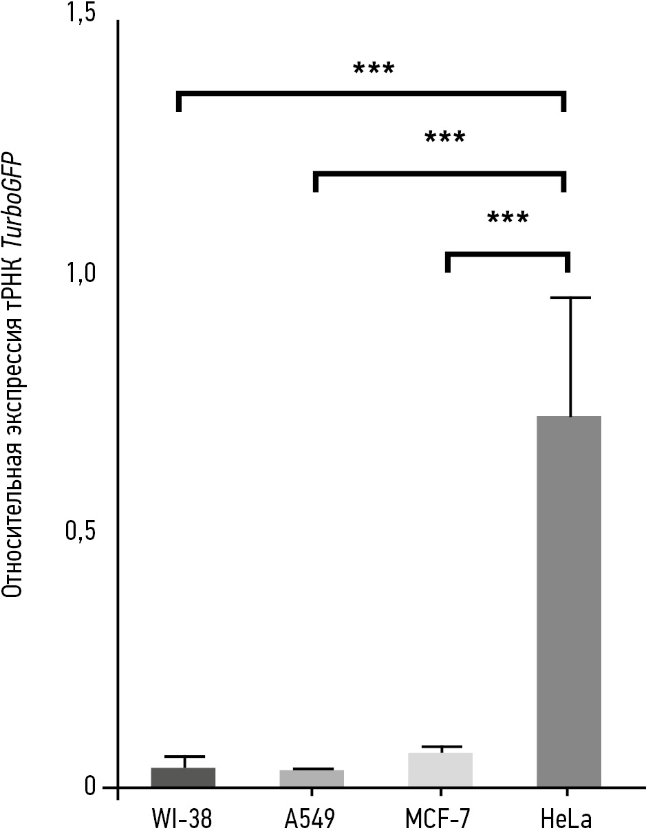
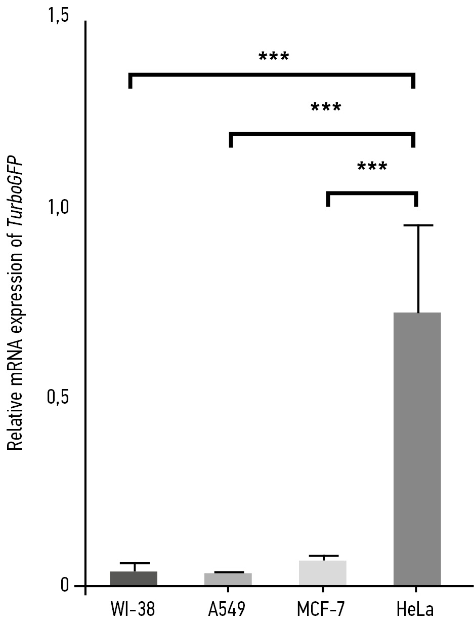
Real-time PCR was used for the quantitative assessment of the functional activity of the hSLPa promoter in the created pTurboGFP-hSLPa construct based on the mRNA expression level of the TurboGFP reporter gene in transfected cells after 48 h of cultivation. The transcriptional activity of the hSLPa promoter was calculated relative to the constitutive CMV promoter, which is active in all cells. Thus, an increased mRNA expression level of the TurboGFP gene was detected in HeLa tumor cells, indicating the highest transcriptional activity of the hSLPa promoter in this type of tumor cells (Fig. 3). Simultaneously, in A549 lung cancer and MCF-7 breast cancer tumor cells, as well as in normal WI-38 cells, the mRNA expression level was low (Fig. 3).
Fig. 3. Analysis of TurboGFP mRNA expression from the hSLPа promoter in cells transfected by the pTurboGFP-hSLPa genetic construct. The expression level of the TurboGFP mRNA from the CMV promoter in the same cell lines transfected with the pTurboGFP-C plasmid was taken as 1; *** p=0.0002.
Thus, the hSLPIa promoter has true functional activity and specificity only in relation to HeLa cervical cancer cells. In other tumor lines evaluated in this study, A549 and MCF-7, the hSLPa promoter did not exhibit transcriptional activity. Furthermore, the promoter activity was also not detected in normal WI-38 cells, indicating the possibility of developing a highly selective gene therapy construct based on the hSLPa promoter.
DISCUSSION
Tumor-specific promoters are one of the promising tools in cancer gene therapy, allowing selective initiation of therapeutic gene expressions exclusively in tumor cells [2]. Currently, several studies have investigated a wide range of promoter regions of genes overexpressed in cancer cells [7–9]. One of the promising ones is the hSLPI promoter.
At stage 1 of this study, a reporter genetic construct in which the green fluorescent protein gene is controlled by the hSLPI promoter should be created. Promoter regions are complex matrices rich in a large number of GC repeats that are resistant to melting of secondary structures and stop DNA polymerases, which frequently result in incomplete and non-specific amplification [13]. Therefore, a set of primers allowing the amplification of its fragments of different lengths was used to obtain the hSLPI promoter. Consequently, the reporter genetic construct pTurboGFP-hSLPa was obtained, containing a fragment of the hSLPI promoter, 877 base pairs in size (Fig. 1b).
The functional activity of the hSLPI promoter is known widely vary in range. Hyperexpression of the hSLPI gene was revealed in lung cancer cells [14], cervical cancer [15], pancreatic cancer [16], and ovarian cancer [17]. Simultaneously, a low level of SLPI gene mRNA expression was detected in the INR-90 normal lung cell line [18]. Tumor cell transfection with the pTurboGFP-hSLPa reporter construct we created showed that the hSLPIa promoter can effectively trigger the expression of the fluorescent green protein gene only in HeLa tumor cells (Fig. 2). In the A549 lung cancer and MCF-7 breast cancer cell lines, TurboGFP protein fluorescence was noted only in single cells. Quantitative analysis of the TurboGFP gene mRNA expression revealed that the activity of the hSLPIa promoter in HeLa cells was significantly higher than its activity in both A549 and MCF-7 tumor cells and normal WI-38 cells (Fig. 3). The activity level of the tumor-specific hSLPIa promoter in HeLa cells was comparable to that of the non-specific strong CMV promoter and was 72% relative to the CMV promoter activity in the same cells, which was taken as 100%.
Thus, the functional activity and specificity of the hSLPI human leukocyte secretory protease inhibitor promoter was high in HeLa cervical cancer tumor cells, making it a promising tool for creating gene therapeutic constructs for the treatment of cervical cancer.
CONCLUSION
Although several studies have analyzed the activity of tumor-specific promoters, the cancer cell heterogeneity cannot clearly predict the transcriptional activity of a particular promoter region and, consequently, the effectiveness of therapy. Previous studies have reported that the hSLPI promoter is active in a wide range of tumor lines. However, its transcriptional activity was detected only in HeLa cervical cancer cells in this study. Therefore, the optimal tumor-specific promoter should be carefully selected for a particular tumor tissue.
ADDITIONAL INFORMATION
Funding source. This work was supported by the Russian Science Foundation (project no. 21-74-10036) within the framework of the Strategic Academic Leadership Program of the Kazan (Volga region) Federal University (“Priority-2030”).
Competing interests. The authors declare that they have no competing interests.
Authors’ contribution. All authors made a substantial contribution to the conception of the work, acquisition, analysis, interpretation of data for the work, drafting and revising the work, final approval of the version to be published and agree to be accountable for all aspects of the work. Dudkina EV — performed experiments, analyzed and visualized the obtained results, wrote and edited the manuscript; Kosnyrev AS — performed experiments, processed the results obtained and visualized them, wrote and edited the manuscript; Ulyanova VV — analyzed the results obtained, wrote and edited the manuscript, prepared the manuscript for publication; Nadyrova AI — performed experiments, visualized the results obtained, prepared the text of the article for publication; Morozova PS, Kupriyanova EA — performed experiments; Ilinskaya ON — consulted on research, edited the manuscript.
About the authors
Elena V. Dudkina
Kazan Federal University, Kazan
Author for correspondence.
Email: ElVDudkina@kpfu.ru
ORCID iD: 0000-0002-2817-1384
SPIN-code: 5874-7417
Cand. Sci. (Biology), Associate Professor
Russian Federation, 18 Kremlyovskaya street, Kazan, 420008Alexander S. Kosnyrev
Kazan Federal University, Kazan
Email: AleSKosnyrev@kpfu.ru
ORCID iD: 0009-0008-4341-5181
SPIN-code: 8593-7837
Russian Federation, 18 Kremlyovskaya street, Kazan, 420008
Vera V. Ulyanova
Kazan Federal University, Kazan
Email: Vera.Uljanova@kpfu.ru
ORCID iD: 0000-0003-1768-3314
SPIN-code: 8479-4593
Cand. Sci. (Biology), Associate Professor
Russian Federation, 18 Kremlyovskaya street, Kazan, 420008Alsu I. Nadyrova
Kazan Federal University, Kazan
Email: alsu.nadyrova@yandex.ru
ORCID iD: 0000-0002-1312-0605
SPIN-code: 9618-7816
Russian Federation, 18 Kremlyovskaya street, Kazan, 420008
Polina S. Morozova
Kazan Federal University, Kazan
Email: polinam0r0zz@ya.ru
ORCID iD: 0009-0006-7205-5774
Russian Federation, 18 Kremlyovskaya street, Kazan, 420008
Elena A. Kupriyanova
Kazan Federal University, Kazan
Email: elena.a.kupriyanova@gmail.com
ORCID iD: 0000-0002-9185-4217
SPIN-code: 9456-5596
Russian Federation, 18 Kremlyovskaya street, Kazan, 420008
Olga N. Ilinskaya
Kazan Federal University, Kazan
Email: Olga.Ilinskaya@kpfu.ru
ORCID iD: 0000-0001-6936-2032
SPIN-code: 7972-5807
Russian Federation, 18 Kremlyovskaya street, Kazan, 420008
References
- Sasaki H, Endo K, Okuda K, et al. Epidermal growth factor receptor gene amplification and gefitinib sensitivity in patients with recurrent lung cancer. Journal of cancer research and clinical oncology. 2008;134:569–577. doi: 10.1007/s00432-007-0320-z
- Montaño-Samaniego M, Bravo-Estupiñan DM, Méndez-Guerrero O, Alarcón-Hernández E, Ibáñez-Hernández M. Strategies for targeting gene therapy in cancer cells with tumor-specific promoters. Frontiers in oncology. 2020;10:609380. doi: 605380.10.3389/fonc.2020.605380
- Aiuti A, Roncarolo MG, Naldini L. Gene therapy for ADA-SCID, the first marketing approval of an ex vivo gene therapy in Europe: paving the road for the next generation of advanced therapy medicinal products. EMBO Mol Med. 2017;9(6):737–740. doi: 10.15252/emmm.201707573
- Yan M, Chen J, Jiang H, et al. Effective inhibition of cancer cells by recombinant adenovirus expressing EGFR-targeting artificial microRNA and reversed-caspase-3. PLoS One. 2020;15(8):e0237098. doi: 10.1371/journal.pone.0237098
- Ginn SL, Amaya AK, Alexander IE, Edelstein M, Abedi MR. Gene therapy clinical trials worldwide to 2017: An update. J Gene Med. 2018;20(5):1–16. doi: 10.1002/jgm.3015
- Rama Ballesteros A, Hernández R, Perazzoli G, et al. Specific driving of the suicide E gene by the CEA promoter enhances the effects of paclitaxel in lung cancer. Cancer Gene Ther. 2020;27:657–668. doi: 10.1038/s41417-019-0137-3
- Chen C, Yue D, Lei L, et al. Promoter-operating targeted expression of gene therapy in cancer: current stage and prospect. Molecular Therapy-Nucleic Acids. 2018;11:508–514. doi: 10.1016/j.omtn.2018.04.003
- Wang Y, Xu HX, Lu MD, Tang Q. Expression of thymidine kinase mediated by a novel non-viral delivery system under the control of vascular endothelial growth factor receptor 2 promoter selectively kills human umbilical vein endothelial cells. World Journal of Gastroenterology: WJG. 2008;14(2):224. doi: 10.3748/wjg.14.224
- Naoum GE, Zhu ZB, Buchsbaum DJ, Curiel DT, Arafat WO. Surviving a radiogenetic promoter for glioblastoma viral gene therapy independently from CArG motifs. Clinical and Translational Medicine. 2017;6:1–11. doi: 10.1186/s40169-017-0140-y
- Suhail Y, Cain MP, Vanaja K, et al. Systems biology of cancer metastasis. Cell systems. 2019;9(2):109–127. doi: 10.1016/j.cels.2019.07.003
- Sambrook J, Russell DW. Molecular Cloning: A Laboratory Manual. 3d ed. Cold Spring Harbor: Cold Spring Harbor Lab. Press; 2001.
- Chen J, Yang B, Zhang S, et al. Antitumor potential of SLPI promoter controlled recombinant caspase-3 expression in laryngeal carcinoma. Cancer Gene Ther. 2012;19(5):328–335. doi: 10.1038/cgt.2012.5
- Sahdev S, Saini S, Tiwari P, Saxena S, Saini KS. Amplification of GC-rich genes by following a combination strategy of primer design, enhancers and modified PCR cycle conditions. Molecular and cellular probes. 2007;21(4):303–307. doi: 10.1016/j.mcp.2007.03.004
- Shuhong H, Xiaoyuan D, Yang S, et al. Targeted gene therapy of the HSV-TK/hIL-12 fusion gene controlled by the hSLPI gene promoter of human non-small cell lung cancer in vitro. Oncology Letters. 2018;15(5):6503–6512. doi: 10.3892/ol.2018.8148
- Robertson MW, Wang M, Siegal GP, et al. Use of a tissue-specific promoter for targeted expression of the herpes simplex virus thymidine kinase gene in cervical carcinoma cells. Cancer Gene Ther. 1998;5:331–336.
- Zuo J, Zhang C, Ren C, et al. Secretory leukocyte protease inhibitor is a proliferation and survival factor for pancreatic cancer cells. Clin Transl Oncol. 2015;17(4):314–321. doi: 10.1007/s12094-014-1232-4
- Barker SD, Coolidge CJ, Kanerva A, et al. The secretory leukoprotease inhibitor (SLPI) promoter for ovarian cancer gene therapy. The Journal of Gene Medicine. 2003;5(4):300–310. doi: 10.1002/jgm.341
- Maemondo M, Saijo Y, Narumi K, et al. Gene therapy with secretory leukoprotease inhibitor promoter-controlled replication-competent adenovirus for non-small cell lung cancer. Cancer research. 2004;64(13):4611–4620. doi: 10.1158/0008-5472.CAN-03-2549
Supplementary files






