Cytotoxicity of curcumin-loaded nanoparticles based on amphiphilic poly-N-vinylpyrrolidone derivatives in 2D and 3D in vitro models of human ovarian adenocarcinoma
- Authors: Gileva A.M.1,2, Kulikova D.I.1,2, Kukovyakina E.V.2, Yagolovich A.V.3, Kushnerev K.S.2, Kuskov A.N.2, Markvicheva E.A.1
-
Affiliations:
- Shemyakin–Ovchinnikov Institute of Bioorganic Chemistry RAS
- Mendeleev Russian University of Chemical Technology
- Lomonosov Moscow State University
- Issue: Vol 29, No 3 (2024)
- Pages: 171-182
- Section: Original Study Articles
- Submitted: 04.10.2024
- Accepted: 27.11.2024
- Published: 21.12.2024
- URL: https://rjonco.com/1028-9984/article/view/636712
- DOI: https://doi.org/10.17816/onco636712
- ID: 636712
Cite item
Abstract
BACKGROUND: Nanocarriers based on biocompatible polymers are a promising delivery tool for biologically active substances and drugs, in particular antitumor agents. Curcumin, a polyphenol, is known to possess pleiotropic therapeutic effects, including antitumor activity. The antitumor potential of curcumin has been shown in various tumor types, including ovarian adenocarcinoma. However, its lipophilic properties and very low bioavailability limits its use. Incorporating curcumin into nanocarriers enhances its delivery options and expands its potential as an antitumor agent.
AIM: To produce curcumin-loaded polymeric nanoparticles based on amphiphilic poly-N-vinylpyrrolidone derivatives and its copolymers with acrylic acid, explore their accumulation in the tumor cells; evaluate in vitro cytotoxicity in 2D (monolayer cell culture) and 3D (tumor spheroids) models of human ovarian adenocarcinoma.
MATERIALS AND METHODS: The polymers of the amphiphilic poly-N-vinylpyrrolidone derivatives and its copolymers with acrylic acid were obtained using radical polymerization. Emulsion method was used to obtain polymeric nanoparticles. Accumulation of nanoparticles in tumor cells was assessed using flow cytometry (for monolayer culture) or fluorimetric analysis (for spheroids). Cytotoxicity was studied in 2D and 3D models obtained of the human ovarian adenocarcinoma cell line OVCAR-3 using 3-4,5-dimethylthiazol-2-yl-2,5-diphenyltetrazolium bromide (MTT assay).
RESULTS: The effective accumulation of curcumin-loaded polymeric nanoparticles in both monolayer culture cells and tumor spheroids was demonstrated. Curcumin-loaded nanoparticles exhibited high-level cytotoxicity in the 2D model of human ovarian adenocarcinoma cells OVCAR-3 (IC50 up to 137±9 μg/mL) and a moderate, although significant cytotoxic effect in a 3D in vitro model. Meanwhile, nanoparticles not loaded with curcumin did not show any cytotoxic activity regardless of their composition or of the additional modification, i.e. with the use of maleimide functional groups.
CONCLUSION: These data can provide a foundation for further studies to assess the safety and in vivo antitumor activity of curcumin-loaded nanoparticles based on amphiphilic poly-N-vinylpyrrolidone derivatives.
Full Text
BACKGROUND
In contemporary medicine, nanocarriers play an important role, providing opportunities for targeted delivery of anticancer agents directly to tumor cells, thus significantly reducing side effects and increasing their therapeutic effect. In particular, the incorporation of lipophilic anticancer agents in nanocarriers enhances their efficacy due to improved solubility, selectivity, and prolonged release [1].
Currently, polymeric nanocarriers, especially nanoparticles, are a promising tool, demonstrating high stability, low toxicity, and ability to efficiently incorporate lipophilic drugs [2]. Some micellar nanocarriers loaded with anticancer agents have already been approved for marketing or are currently being studied in clinical trials [3]. Polymeric nanoparticles based on amphiphilic block copolymers, enabling various structural and functional modifications of the formed delivery system, are currently under active research [4, 5]. Promising polymers include biocompatible and biodegradable poly-N-vinylpyrrolidone (PVP), which may be used to produce highly stable polymeric nanoscale particles [6]. For example, nanoparticles produced from amphiphilic PVP derivatives are stable in the presence of blood serum; they do not significantly affect blood cell function and complement activation, and have no hemolytic or inflammatory effects [7]. The previous studies demonstrated that such nanoparticles based on amphiphilic PVP derivatives may be loaded with Indometacin, the anti-inflammatory drug [8], and bortezomib, the anticancer drug [9].
Curcumin, a polyphenolic pigment derived from the Curcuma longa rhizome, was shown to have a significant impact on various intracellular signaling pathways. In addition to its antitumor properties, curcumin is known to possess anti-inflammatory, immunomodulatory, neuroprotective, hepatoprotective, and antiviral effects [10]. Due to its lipophilic properties, curcumin is frequently used as a model drug in the development of novel delivery systems. Like most antitumor agents used in clinical practice, curcumin possesses antitumor activity and is easily detected by fluorescence. The antitumor potential of curcumin has been shown in various tumor types, particularly human ovarian adenocarcinoma [11, 12]. However, its low chemical stability and bioavailability of curcumin due to its lipophilic properties limit its therapeutic use [13]. Incorporating curcumin into nanocarriers may result in the production of stable and effective dosage forms of curcumin, thereby increasing its efficacy and expanding its application range, including its use as an additional antitumor therapy.
The aim of study was to produce curcumin-loaded polymeric nanoparticles based on amphiphilic PVP derivatives and its copolymers with acrylic acid, as well as to explore their accumulation in tumor cells and evaluate in vitro cytotoxicity in 2D (monolayer cell culture) and 3D (multicellular spheroids) models based on the OVCAR-3 human ovarian adenocarcinoma cell line.
The study demonstrated the cytotoxic activity of curcumin-loaded polymeric nanoparticles based on amphiphilic poly-N-vinylpyrrolidone derivatives and its copolymers with acrylic acid against human ovarian adenocarcinoma cells in two in vitro models. In addition, it was shown that nanoparticle surface modification with maleimide functional groups did not result in cytotoxicity. Such modified nanoparticles may be used in the future for covalent crosslinking with protein molecules (ligands) for targeted delivery to cancer cells. The obtained data may provide a basis for further studies to assess the safety and in vivo antitumor activity of curcumin-loaded nanoparticles based on amphiphilic PVP derivatives or other lipophilic drugs with antitumor activity.
MATERIALS AND METHODS
Study design
The study design involves three stages.
Stage 1 was to synthetize polymers based on amphiphilic PVP derivatives to produce polymeric nanoparticles with incorporated curcumin.
Stage 2 was to evaluate the accumulation efficiency of the nanoparticles by OVCAR-3 tumor cells (in vitro 2D and 3D models).
Stage 3 was to evaluate the cytotoxic activity of curcumin-loaded nanoparticles in 2D and 3D models based on in vitro OVCAR-3 tumor cells.
Study setting and duration
The study was conducted at the Shemyakin and Ovchinnikov Institute of Bioorganic Chemistry of the Russian Academy of Sciences, Mendeleev Russian University of Chemical Technology, and Lomonosov Moscow State University. The study lasted from March 2024 to September 2024.
Description of research methodology
Synthesis of polymers based on amphiphilic PVP derivatives
Two types of polymers representing amphiphilic PVP derivatives with a molecular weight of 3 kDa were synthesized: Amph-PVP (PVP with one terminal n-octadecyl fragment) and Amph-PVP-AA (copolymer of N-vinylpyrrolidone and acrylic acid with one terminal n-octadecyl fragment). The synthesis of Amph-PVP and Amph-PVP-AA proceeded as follows: 0.115 g (accurately weighed) of 2,2’-azobisisobutyronitrile (AIBN) and 0.429 g (accurately weighed) of octadecyl mercaptan were added to a 250 mL round bottom flask. This was followed by the addition of a solution of 10.7 mL of N-vinylpyrrolidone in 40 mL of 1,4-dioxane. For Amph-PVP-AA polymer, 350 µL of acrylic acid was also added to the system. The reaction mixture was mixed for 5 min until all components were completely dissolved. The resulting solution was allowed to stand for 1 h at room temperature. Subsequently, 100 mL of distilled water was added. Then, the resulting polymer mixture was distilled using a rotary evaporator (Hei-Vap Value Digital, Heidolph Instruments, Germany) to remove 1,4-dioxane. The prepared mixture was dialyzed against water (Slide-A-Lyzer™ Dialysis Flask, 1K MWCO, Thermo Scientific, USA) for four days and then lyophilized (Alpha 1-4 LD plus, Martin Christ, Germany). Functional analysis (potentiometric titration) was used to determine the molecular weight of the polymers.
Modification of Amph-PVP-AA polymers with maleimide groups
A 0.5 g suspension of Amph-PVP-AA was dispersed in 25 mL of water. The modification of Amph-PVP-AA involved preparation of two solutions: a 1 mg solution of 1-ethyl-3-(3-dimethylaminopropyl)carbodiimide in 2 mL of water and a 16 mg solution of N-hydroxysuccinimide in 3 mL of water. These solutions were left to stir for 15 min before being added to the nanoparticle solution. A 4 mg (accurately weighed) of 1-(2-aminoethyl)maleimide was dissolved in 5 mL of water and subsequently added to the nanoparticle solution. Then, the reaction mixture was mixed for 24 h. The modified nanoparticles were then dialyzed against water, frozen, and lyophilized. The finished powder consisted of nanoparticles that could be dispersed in water or phosphate-salt buffer (pH=7.4) to produce a stable nanoparticle suspension.
Preparation of nanoparticles from curcumin-loaded amphiphilic PVP derivatives (Amph-PVP-Cur)
The Amph-PVP-Cur nanoparticles were produced by emulsion method, whereby 0.1 g of polymer was dispersed in 20 mL of water, and 0.0014 g of curcumin was dissolved in 5 mL of acetone. Then, the polymer solution was ultrasonicated for 5 min while cooling. Following the homogenization process, the curcumin solution was introduced to the polymer solution and subjected to additional ultrasonic treatment for another 5 min. The acetone was then extracted using a rotary evaporator (Hei-Vap Value Digital, Heidolph Instruments, Germany). The suspension was centrifuged (Sigma 4-5 L, Germany) to separate unincluded curcumin. The supernatant was then lyophilized. The finished powder consisted of nanoparticles, which could be dispersed in water or phosphate-salt buffer to produce a stable particle suspension.
Preparation of nanoparticles from curcumin-loaded amphiphilic PVP derivatives modified with acrylic acid and maleimide groups (Amph-PVP-AA-Mal-Cur)
The Amph-PVP-AA-Mal-Cur nanoparticles were produced by emulsion method, whereby 0.5 g of polymer was dispersed in 25 mL of water, and 0.002 g of curcumin was dissolved in 5 mL of acetone. Then, the polymer solution was ultrasonicated for 5 min while cooling. Following the homogenization process, the curcumin solution was introduced to the polymer solution and subjected to additional ultrasonic treatment for another 5 min. The acetone was then extracted using a rotary evaporator (Hei-Vap Value Digital, Heidolph Instruments, Germany). The suspension was centrifuged (Sigma 4-5 L, Germany) to separate unincluded curcumin. The supernatant was then collected. The modification of nanoparticles involved preparation of two solutions: a 1 mg solution of 1-ethyl-3-(3-dimethylaminopropyl)carbodiimide in 2 mL of water and a 16 mg solution of N-hydroxysuccinimide in 3 mL of water. These solutions were left to stir for 15 min before being added to the nanoparticle solution. A 4 mg (accurately weighed) of 1-(2-aminoethyl)maleimide was dissolved in 5 mL of water and subsequently added to the nanoparticle solution. Then, the reaction mixture was stirred for 24 h. The modified nanoparticles were then dialyzed against water, frozen, and lyophilized. The finished powder consisted of nanoparticles that could be dispersed in water or phosphate-salt buffer to produce a stable nanoparticle suspension. Particle sizes were determined by dynamic light scattering (Zetasizer Nano ZS, Marvern). The average size of the nanoparticles was in the range up to 350 nm.
The incorporation efficiency of curcumin into nanoparticles was calculated by the ratio of total curcumin content in the particles to the total amount of loaded curcumin. The release profile of curcumin from the nanoparticles was investigated over 24 h as previously described [14]. Briefly, the nanoparticles were suspended in phosphate-salt buffer (pH 7.4), after which the suspension was centrifuged (9000 g, 15 min), and the amount of released curcumin in the buffer was determined spectrophotometrically at 425 nm. Aliquots of samples were collected at 0.5, 1, 2, 6, 12, 16, and 24 h.
Cell cultivation
The OVCAR-3 human ovarian adenocarcinoma cell line (American Type Culture Collection, ATCC, USA, Cat. No. NTV-161) was provided by Viktor. V. Tatarsky, Cand. Sci. (Biology) (Institute of Gene Biology, Russian Academy of Sciences). The cells were cultivated in RPMI-1640 medium, which was enriched with 10% fetal bovine serum (FBS). The cells were cultured in a CO2 incubator (N-BIOTEK NB-203, South Korea) in the gas-air medium containing 5% CO2 at 37°C. The cell growth was monitored daily, using a light inverted microscope (Reichert Microstar 1820E, Germany).
Preparation of multicellular spheroids
Multicellular spheroids were derived directly from monolayer OVCAR-3 cell culture using the method that was developed by the authors earlier [14]. The cell suspension was added to a 96-well plate (SPL Lifesciences, Korea) at the rate of 7500 cells per well (in 100 μL of RPMI-1640 nutrient medium, 10% FBS). Then, the plate was placed in a CO2 incubator for 24 h. Subsequently, the medium was replaced with 100 μL of fresh medium (with 10% FBS) containing 40 μM of synthetic cyclic RGD peptide (cyclo-RGDfK(TPP). The plate was transferred to a CO2 incubator where spontaneous aggregation of cells occurred within 72 h, forming multicellular spheroids. The size of the spheroids was determined by light microscopy. The average spheroid size was 150 nm.
In vitro study of polymeric nanoparticle accumulation efficiency
Flow cytometry
A flow cytometry method using a fluorescence-activated flow cytometer (BD FACSCalibur, USA) with BD CellQuest software was used to quantitatively assess the effectiveness of polymeric nanoparticle accumulation in OVCAR-3 monolayer culture cells. Cells were seeded in a 24-well plate (50,000 cells per well) and incubated for 24 h (37°C, 5% CO2). Then, the old culture medium was removed and fresh RPMI-1640 medium containing the suspension of curcumin-loaded polymeric nanoparticles (0.5 mg/mL, Amph-PVP-Cur and Amph-PVP-AA-Mal-Cur samples, respectively) was added. The cells were then incubated with the samples for 5, 30, and 60 min, after which the unbound nanoparticles were removed by washing three times with phosphate-buffered saline (pH 7.4). The samples were analyzed at a wavelength of 488 nm. Flow cytometry data were expressed as the average fluorescence intensity divided by the background intensity of the control group (untreated cells).
Fluorimetry
The accumulation of polymeric nanoparticles in spheroid cells was quantitatively assessed by fluorimetric analysis. The culture medium was replaced with a fresh medium containing a 0.5 mg/mL suspension of the polymeric nanoparticles Amph-PVP-Cur and Amph-PVP-AA-Mal-Cur and incubated (37 °C, 5% CO2) with spheroids for 1, 3, and 7 h, respectively. Then, the spheroids were washed three times with PBS (pH 7.4) to remove unbound nanoparticles, and the average fluorescence level was measured (Promega GloMax-Multi detection system, USA) at a wavelength of 425 nm (Cur λex=571 nm, λem=467 nm). Absorbance data were expressed as the percentage of nanoparticle fluorescence absorbed by the cells compared to the fluorescence of the baseline solution.
In vitro study of the cytotoxicity of polymeric nanoparticles
The cytotoxicity of the nanoparticles was evaluated using 3-4,5-dimethylthiazol-2-yl-2,5-diphenyltetrazolium bromide (MTT assay). For monolayer culture (2D in vitro model), cells were dispersed in a 96-well culture plate (7500 cells per well) and incubated in an incubator (5% CO2, 37 °C) for 24 h. For spheroid culture (3D in vitro model), a plate with pre-prepared spheroids was used. Then, the medium was removed and a fresh RPMI-1640 medium (10% FBS) containing nanoparticle samples at different concentrations (1, 10, 50, 100 and 500 μg/mL) was added to the cells or spheroids and incubated for 24 and 48 h. After incubation, cells or spheroids were treated with 0.05% MTT reagent solution in RPMI-1640 (without FBS) and left for 3 h. Then. the medium was removed and replaced with dimethyl sulfoxide (100 μL per well) and adsorption was measured using a Multiskan FC reader (Thermo Scientific, USA) at a wavelength of 540 nm. The semi-inhibitory concentration (IC50) was defined as the sample concentration that resulted in 50% growth inhibition of the cells. Monolayer cell culture and spheroids without nanoparticles were used as control (100% viable cells). The results of the MTT assay were processed using the GraphPad Prism software (USA).
Statistical analysis
All data were normally distributed and expressed as mean or mean±standard deviation. Two-way analysis of variance (ANOVA) followed by Sidak’s multiple comparisons test was used to statistically analyze the flow cytofluorimetry and fluorimetry results. For the MTT assay results, ANOVA followed by Tukey’s multiple comparison test was used for analysis. All experiments were performed in triplicate. The collected data were processed using GraphPad Prism software (GraphPad Software Inc., USA) and were found to be significantly different at p <0.05.
RESULTS
Preparation of amphiphilic polymers and nanoparticles on their basis
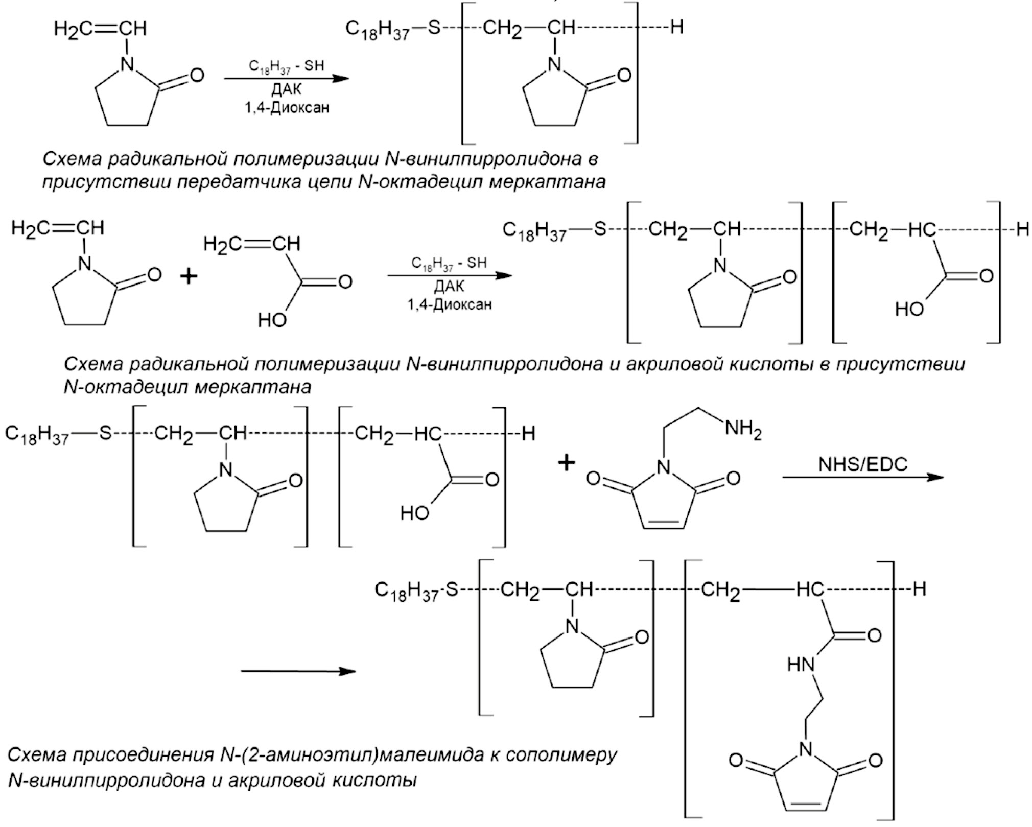
A series of variants of amphiphilic N-vinylpyrrolidone polymers with varying hydrophilic composition were derived. In the first variant (Amph-PVP), the water-soluble block was represented by a N-vinylpyrrolidone polymer, and in the second variant (Amph-PVP-AA), it was represented by a copolymer of N-vinylpyrrolidone and acrylic acid. The incorporation of acrylic acid enables the introduction of 1% to 5% functional carboxyl groups, which may be used for subsequent surface modification of nanocarriers derived from these polymers [15]. In this study, the carboxyl group of acrylic acid was used to introduce maleimide functional groups into the polymer structure, thereby enabling the subsequent conjugation of a targeted anticancer agent under mild conditions. The hydrophilic segment, comprising copolymers of N-vinylpyrrolidone and acrylic acid, underwent modification with 1-(2-aminoethyl)maleimide in the presence of EDS/NHS as an intermediate. Subsequent to this modification, amidation was initiated, resulting in the formation of the Amph-PVP-AA-Mal polymer (Fig. 1).
Fig. 1. Synthesis of amphiphilic derivatives of poly-N-vinylpyrrolidone for subsequent production of modified polymeric nanoparticles with curcumin.
The hydrophobic site in both polymer variants was represented by an n-octadecyl moiety. The Amph-PVP, Amph-PVP-AA, and Amph-PVP-AA-Mal polymers were prepared by radical polymerization in the presence of an initiator and a chain growth regulator. This method allowed for the control of the molecular weight of the resulting polymers, which was 3 kDA for both polymer variants in this study. The structural and compositional characteristics of the polymers were determined and confirmed by several physicochemical analysis methods, including infrared spectroscopy, nuclear magnetic resonance spectroscopy, functional analysis, elemental analysis, and vapor pressure osmometry, as previously reported in our studies [15, 16].
The presence of both hydrophilic and hydrophobic fragments in the structure of the synthesized polymers promotes their self-assembly in aqueous media at concentrations above a certain critical aggregation concentration with the formation of nanoscale associates of the “hydrophobic core–hydrophilic shell” type. Curcumin, as a poorly water-soluble substance, was loaded into the core of such particles through hydrophobic interactions with n-alkyl fragments of polymers by emulsion formation followed by solvent distillation. As a result, two types of nanoscale aggregates (Amph-PVP-Cur and Amph-PVP-AA-Mal-Cur) were produced. The characteristics of the resulting particles are shown in Table 1.
Table 1. Characteristics of polymer nanoparticles
Particle type | Average size, nm | Polydispersity index | ζ-potential, mV |
Amph-PVP-Cur | 204 | 0.269 | -18±-2 |
Amph-PVP-AA-Mal-Cur | 352 | 0.358 | -15±-1.5 |
Note. Amph-PVP-Cur — nanoparticles from amphiphilic derivatives of poly-N-vinylpyrrolidone loaded with curcumin; Amph-PVP-AA-Mal-Cur — nanoparticles from amphiphilic derivatives of poly-N-vinylpyrrolidone copolymers with acrylic acid modified with maleimide and loaded with curcumin.
The efficiency of curcumin incorporation into the samples ranged from 93% to 95%. The profile of curcumin release from nanoparticles was investigated over a 24-h period with time intervals of 0.5, 1, 2, 6, 12, 16, and 24 h (see Fig. 2).
Fig. 2. In vitro release profiles of curcumin from the Amph-PVP-Cur and Amph-PVP-AK-Mal-Cur nanoparticles. Free curcumin was used as a control.
A biphasic curcumin release profile was observed for Amph-PVP-Cur and Amph-PVP-AA-Mal-Cur nanoparticles. During the first 30 min, 11% and 14% of the curcumin was released from the Amph-PVP-Cur and Amph-PVP-AA-Mal-Cur nanoparticles, respectively, followed by a prolonged release for 24 h. A complete release of curcumin (100%) occurred in 24 h. In comparison, more than 30% of the curcumin from the control sample was released within 30 min, and complete release was achieved in 3 h.
In vitro study of polymeric nanoparticle accumulation in tumor cells
The accumulation efficiency of curcumin-loaded polymeric nanoparticles, in particular, Amph-PVP-Cur and Amph-PVP-AA-Mal-Cur samples, was investigated by flow cytometry and fluorimetry (Fig. 3).
Fig. 3. Accumulation efficiency of the polymeric nanoparticles loaded with curcumin in monolayer culture (2D in vitro model) and tumor spheroids (3D in vitro model) from human ovarian adenocarcinoma OVCAR-3 cells Flow cytometry (2D in vitro model) and fluorimetry (3D in vitro model). **** p <0.001.
For monolayer OVCAR-3 cell culture (2D in vitro model), the uptake of both nanoparticle samples occurred after 5 min of incubation and amounted to 7% and 10% for Amph-PVP-Cur and Amph-PVP-AA-Mal-Cur samples, respectively. With prolonged incubation, the accumulation levels of both samples increased significantly, reaching 36% and 29% after 30 min and 75% and 78% after 60 min of incubation, respectively.
For spheroids (3D in vitro model), no significant difference in sample accumulation was observed, but the accumulation efficiency decreased significantly. For example, the accumulation levels of Amph-PVP-Cur and Amph-PVP-AA-Mal-Cur were 29% and 34% after 1 h of incubation, 33% and 32% after 3 h, and 59% and 70% after 7 h, respectively.
Study of cytotoxic activity of curcumin-loaded polymeric nanoparticles
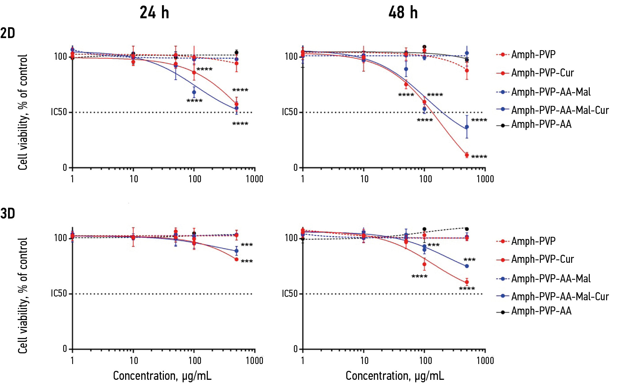
The cytotoxicity of Amph-PVP-Cur and Amph-PVP-AA-Mal-Cur curcumin-loaded polymeric nanoparticles was evaluated on the OVCAR-3 ovarian adenocarcinoma cell line using 2D and 3D in vitro models with the MTT assay (Table 2, Fig. 4). Empty polymeric nanoparticles (without curcumin), in particular, Amph-PVP, Amph-PVP-AA, and Amph-PVP-AA-Mal samples were used as controls.
Fig. 4. Cytotoxicity of the polymeric nanoparticles in monolayer culture (2D in vitro model) and in tumor spheroids (3D in vitro model) from human ovarian adenocarcinoma OVCAR-3 cells after incubation for 24 and 48 h. MTT-test.
Table 2. Cytotoxicity of polymeric nanoparticles in monolayer culture (2D in vitro model) and tumor spheroids (3D in vitro model) from human ovarian adenocarcinoma OVCAR-3 cells. MTT test
Sample | IC50*, µg/mL | |||
2D in vitro model | 3D in vitro model | |||
24 h | 48 h | 24 h | 48 h | |
Amph-PVP-Cur | > 500 | 211±13 | > 500 | |
Amph-PVP-AA-Mal-Cur | 137±9 | |||
Note. * IC50 is a semi-inhibitory concentration. Amph-PVP — nanoparticles from amphiphilic derivatives of poly-N-vinylpyrrolidone; Amph-PVP-AA — nanoparticles from copolymers of amphiphilic derivatives of poly-N-vinylpyrrolidone with acrylic acid; Amph-PVP-AA-Mal — specified nanoparticles modified with maleimide; Amph-PVP-Cur — nanoparticles from amphiphilic derivatives of poly-N-vinylpyrrolidone loaded with curcumin; Amph-PVP-AA-Mal-Cur — nanoparticles from amphiphilic derivatives of poly-N-vinylpyrrolidone copolymers with acrylic acid modified with maleimide and loaded with curcumin.
For monolayer cell culture, control samples (without curcumin) remained non-toxic even at its maximum concentration after a 48 h-incubation period (IC50 > 500 μg/mL). Meanwhile, curcumin-loaded samples started to exert cytotoxic effects after 48 h of incubation. Thus, IC50 was 211 ± 13 μg/mL and 137 ± 9 μg/mL for Amph-PVP-Cur and Amph-PVP-AA-Mal-Cur samples, respectively. A comparable tendency was noted in tumor spheroids: the Amph-PVP-Cur and Amph-PVP-AA-Mal-Cur samples demonstrated heightened cytoxicity following 48 h (as indicated by the characteristics of the corresponding curves). However, cytoxicity of these samples did not reach the semi-inhibitory concentration (IC50 > 500 μg/mL).
DISCUSSION
Summary of the primary study outcomes
New data on the effect of nanoparticles based on amphiphilic PVP derivatives and its copolymers with acrylic acid on OVCAR-3 tumor cells were obtained. The study demonstrated that neither the original polymeric nanoparticles (Amph-PVP), nor those based on a PVP copolymer with acrylic acid (Amph-PVP-AA), nor the same nanoparticles modified with maleimide (Amph-PVP-AA-Mal) exhibited any signs of toxicity. However, upon loading with curcumin, Amph-PVP-Cur and Amph-PVP-AA-Mal-Cur nanoparticles demonstrated a significant cytotoxic effect in the 2D model and exhibited a weaker yet evident cytotoxic effect on spheroids derived from human ovarian adenocarcinoma OVCAR-3 cells in the 3D model.
Discussion of the primary study outcomes
Novel nanoparticles were developed based on amphiphilic polymers and copolymers of N-vinylpyrrolidone and acrylic acid (Amph-PVP, Amph-PVP-AA) loaded with the lipophilic antitumor agent curcumin. The resulting carrier nanoparticles were characterized by their physicochemical properties (average size and ζ-potential) as well as accumulation efficiency in OVCAR-3 tumor cells. In addition, their cytotoxicity was evaluated in 2D (monolayer culture) and 3D (tumor spheroids) in vitro models of OVCAR-3 human ovarian adenocarcinoma.
Multicellular tumor spheroids have recently been considered as a more relevant in vitro model compared to monolayer cell culture. Due to their three-dimensional structure, tumor spheroids can mimic the heterogeneity and microenvironment of small solid tumors in vivo. This includes specific gene expression, intercellular interactions, as well as cell-cell contacts with the extracellular matrix, growth kinetics, metabolic rate, and resistance to chemotherapy [17].
Furthermore, this study demonstrated that the internalization (uptake) of nanoparticles by cells, whether with the surface modified or unmodified by additional maleimide groups containing curcumin within its hydrophobic core (Amph-PVP-Cur and Amph-PVP-AA-Mal-Cur), exhibited comparable efficiency in both cases. Consequently, the use of nanoparticles derived from PVP copolymer derivatives with acrylic acid modified with maleimide groups did not have any significant effect on the penetration of nanocarriers into cells. In tumor spheroids, accumulation was much slower than in monolayer culture, which can be explained by a more complex and prolonged penetration of nanocarriers inside the volumetric multilayer spheroid structure. These findings highlight the need to study nanocarriers not only in 2D monolayer cultures, which are currently used, but also in 3D in vitro models, which allow a more accurate simulation of solid tumor conditions in vivo compared to classical 2D models. In addition, testing with 3D in vitro models has an important humanitarian component by reducing the number of animals used in subsequent nonclinical studies.
When the cytotoxicity of the samples was evaluated by the MTT assay, the Amph-PVP-based curcumin-loaded nanoparticles were found to suppress the metabolic activity of human ovarian adenocarcinoma monolayer culture cells after 48 h of incubation. For spheroids, Amph-PVP-Cur and Amph-PVP-AA-Mal-Cur samples also showed a moderate cytotoxic effect after 48 h of incubation without reaching the semi-inhibitory concentration. This result can be explained by the longer time required for both the accumulation of nanoparticles in the cells of multicellular spheroids and the subsequent release of curcumin from the nanoparticles in the spheroids. As anticipated, the cells in the spheroids exhibited increased resistance to the antitumor drug’s action compared to the monolayer culture. This finding is well correlated with prior studies involving different cell lines and antitumor agents [9], as well as other nanocarriers, such as polymeric thymoquinone-loaded nanocontainers [18] and doxorubicin-loaded polyelectrolyte capsules [19].
Additionally, the empty polymeric nanoparticles (without curcumin) used as control showed no cytotoxicity in both 2D and 3D in vitro models even after 48 h incubation at all concentrations tested, indicating their lack of toxicity.
Study limitations
The study limitations include the insufficient time range where the effect of nanoparticles on tumor cells was examined. However, the cytotoxic effect of curcumin-loaded nanoparticles would be more pronounced with an extended incubation period of 72 h or more.
CONCLUSION
In the study, several nanocarriers were obtained based on amphiphilic PVP derivatives and its copolymer with acrylic acid. These nanocarriers included nanoparticles with a surface modified with maleimide functional groups. Such modification of nanoparticles is necessary for their further conjugation with targeted tumor-specific molecules in the development of combined targeted nanosystems with antitumor properties. None of the modifications of the resulting nanoparticles showed toxicity toward human ovarian adenocarcinoma cells. Empty nanocarriers without curcumin loading are non-toxic, thus serving as a foundation for the development of novel and effective delivery systems for antitumor agents, including targeted therapy following the incorporation of specific ligands. The curcumin-loaded nanoparticles was demonstrated to exhibit a pronounced cytotoxic effect in a 2D in vitro model using the OVCAR-3 human ovarian adenocarcinoma cell line. A moderate cytotoxic effect was observed in a 3D in vitro model. These findings suggest that the developed nanoparticles possess considerable potential and could provide a foundation for the development of novel and effective targeting nanosystems for the delivery of antitumor agents with high bioavailability in the future.
Additional information
Funding source. The work was supported by the Russian Science Foundation grant #23-15-00468, https://rscf.ru/project/23-15-00468/
Competing interests. The authors declare no conflicts of interest related to the publication of this article.
Authors’ contribution. All authors confirm that their authorship complies with the international ICMJE criteria (all authors made a significant contribution to the development of the concept, conducting the study and preparing the article, read and approved the final version before publication). The authors’ contribution is distributed as follows: A.M. Gileva — study design, experimental part of the work, analysis of the obtained data, writing the text of the article; D.I. Kulikova — experimental part of the work, writing the text of the article; A.V. Yagolovich — study design, analysis of the obtained data, statistical analysis, writing the text of the article; E.V. Kukovyakina, K.S. Kushnerev — experimental part of the work; E.A. Markvicheva — study design, scientific editing of the article; A.N. Kuskov — study design, analysis of the obtained data, scientific editing of the article, project management.
About the authors
Anastasia M. Gileva
Shemyakin–Ovchinnikov Institute of Bioorganic Chemistry RAS; Mendeleev Russian University of Chemical Technology
Email: sumina.anastasia@mail.ru
ORCID iD: 0000-0001-8220-0580
SPIN-code: 3401-5241
junior researcher
Russian Federation, Moscow; MoscowDaria I. Kulikova
Shemyakin–Ovchinnikov Institute of Bioorganic Chemistry RAS; Mendeleev Russian University of Chemical Technology
Email: dkulikovaaa@mail.ru
Russian Federation, Moscow; Moscow
Ekaterina V. Kukovyakina
Mendeleev Russian University of Chemical Technology
Email: kev0700@yandex.ru
ORCID iD: 0009-0008-2918-185X
SPIN-code: 9172-4087
Russian Federation, Moscow
Anne V. Yagolovich
Lomonosov Moscow State University
Email: anne-gor2002@yandex.ru
ORCID iD: 0000-0003-3145-3726
SPIN-code: 2076-1814
Cand. Sci. (Biology)
Russian Federation, MoscowKirill S. Kushnerev
Mendeleev Russian University of Chemical Technology
Email: firstavenue@mail.ru
ORCID iD: 0000-0003-2866-9796
SPIN-code: 4968-0941
Russian Federation, Moscow
Andrey N. Kuskov
Mendeleev Russian University of Chemical Technology
Email: kuskov.a.n@muctr.ru
ORCID iD: 0000-0001-8140-2754
SPIN-code: 6115-8494
ResearcherId: R-7314-2016
Dr. Sci. (Chemistry), Professor
Russian Federation, MoscowElena A. Markvicheva
Shemyakin–Ovchinnikov Institute of Bioorganic Chemistry RAS
Author for correspondence.
Email: lemarkv@hotmail.com
ORCID iD: 0000-0001-6652-3267
Dr. Sci. (Chemistry)
Russian Federation, MoscowReferences
- Alqosaibi AI. Nanocarriers for anticancer drugs: Challenges and perspectives. Saudi J Biol Scie. 2022;29(6):103298. doi: 10.1016/j.sjbs.2022.103298
- Beach MA, Nayanathara U, Gao Y, et al. Polymeric Nanoparticles for Drug Delivery. Chem Rev. 2024;124(9):5505–5616. doi: 10.1021/acs.chemrev.3c00705
- Hwang D, Ramsey JD, Kabanov AV. Polymeric micelles for the delivery of poorly soluble drugs: From nanoformulation to clinical approval. Adv Drug Deliv Rev. 2020;156:80–118. doi: 10.1016/j.addr.2020.09.009
- Torchilin VP. Micellar Nanocarriers: Pharmaceutical Perspectives. Pharm Res. 2006;24(1):1–16. doi: 10.1007/s11095-006-9132-0
- Hassankhani Rad A, Asiaee F, Jafari S, et l. Poly(ethylene glycol)-poly(ε-caprolactone)-based micelles for solubilization and tumor-targeted delivery of silibinin. Bioimpacts. 2019;10(2):87–95. doi: 10.34172/bi.2020.11
- Luo Y, Hong Y, Shen L, et al. Multifunctional Role of Polyvinylpyrrolidone in Pharmaceutical Formulations. AAPS Pharm Sci Tech. 2021;22(1):34. doi: 10.1208/s12249-020-01909-4
- Tsatsakis A, Stratidakis AK, Goryachaya AV, et al. In vitro blood compatibility and in vitro cytotoxicity of amphiphilic poly-N-vinylpyrrolidone nanoparticles. Food Chem Toxicol. 2019;127: 42–52. doi: 10.1016/j.fct.2019.02.041
- Berdiaki A, Perisynaki E, Stratidakis A, et al. Assessment of Amphiphilic Poly- N -vinylpyrrolidone Nanoparticles’ Biocompatibility with Endothelial Cells in Vitro and Delivery of an Anti-Inflammatory Drug. Mol Pharm. 2020;17(11):4212–4225. doi: 10.1021/acs.molpharmaceut.0c00667
- Yagolovich A, Kuskov A, Kulikov P, et al. Assessment of the effects of amphiphilic poly (N-vinylpyrrolidone) nanoparticles loaded with bortezomib on glioblastoma cell lines and zebrafish embryos. Biomed Rep. 2024;20(3):37. doi: 10.3892/br.2024.1725
- Kostyuk VA. Biological activity of curcumin and perspectives for its pharmacological use. J GrSMU. 2022;20(2):144–151. doi: 10.25298/2221-8785-2022-20-2-144–151
- Mohamadian M, Bahrami A, Moradi Binabaj M, et al. Molecular Targets of Curcumin and Its Therapeutic Potential for Ovarian Cancer. Nutrition and Cancer. 2022;74(8):2713–2730. doi: 10.1080/01635581.2022.2049321
- Liu X, Qi M, Li X, et al. Curcumin: a natural organic component that plays a multi-faceted role in ovarian cancer. J Ovarian Res. 2023;16(1):47. doi: 10.1186/s13048-023-01120-6
- Górnicka J, Mika M, Wróblewska O, et al. Methods to Improve the Solubility of Curcumin from Turmeric. Life. 2023;13(1):207. doi: 10.3390/life13010207
- Akasov R, Zaytseva-Zotova D, Burov S, et al. Formation of multicellular tumor spheroids induced by cyclic RGD-peptides and use for anticancer drug testing in vitro. Int J Pharm. 2016;506(1-2): 148–157. doi: 10.1016/j.ijpharm.2016.04.005
- Tawfik M, Hadlak S, Götze C, et al. Live In-Vivo Neuroimaging Reveals the Transport of Lipophilic Cargo Through the Blood-Retina Barrier with Modified Amphiphilic Poly-N-Vinylpyrrolidone Nanoparticles. J biomed nanotechnol. 2021;17(5):846–858. doi: 10.1166/jbn.2021.3073
- Kulikov PP, Kuskov AN, Goryachaya AV, et al. Amphiphilic poly-n-vinyl-2-pyrrolidone: Synthesis, properties, nanoparticles. Polym Sci Ser D. 2017;10(3):263–268. doi: 10.1134/S199542121703008X
- Han S, Kwon S, Kim K. Challenges of applying multicellular tumor spheroids in preclinical phase. Cancer Cell Int. 2021;21(1):152. doi: 10.1186/s12935-021-01853-8
- Borodina T, Gileva A, Akasov R, et al. Fabrication and evaluation of nanocontainers for lipophilic anticancer drug delivery in 3D in vitro model. J Biomed Mater Res. 2021;109(4):527–537. doi: 10.1002/jbm.b.34721
- Gileva A, Trushina D, Yagolovich A, et al. Doxorubicin-Loaded Polyelectrolyte Multilayer Capsules Modified with Antitumor DR5-Specific TRAIL Variant for Targeted Drug Delivery to Tumor Cells. Nanomaterials. 2023;13(5):902. doi: 10.3390/nano13050902
Supplementary files







